0.999・・・は、1にならない。
Ver.1.017a 2023.10.17
2012. 3. 3 Ver.1.000 新規作成
2012. 3. 4 Ver.1.001 書式修正
2012. 4. 1 Ver.1.002 書式修正
2012. 4.10 Ver.1.003 0.9999.PDFの追加
2012. 4.11 Ver.1.004 09999.PDFの修正
2012.4.21 Ver.1.005 09999.PDFの修正
2012. 5. 5 Ver.1.006 09999.PDFの削除
2012. 7.18 Ver.1.007 進数と小数の手直し
2013.10.05 Ver.1.008 九去数で考える
2015. 1. 2 Ver.1.009 修正
2015. 4. 3 Ver.1.010 「10進数のトリック」追加
2015. 4.10 Ver.1.011 「無限小は0でない」を追加
2015. 4. 11 Ver.1.012 「10進数のトリック」と「無限小は0でない」に追記
2016. 1. 23 Ver.1.013 「1=2であると奇妙なことが起きる」に追記
2022. 9. 4 Ver.1.014a 「1=2であると奇妙なことが起きる」を 削 除   分数を使った証明は誤りを追加 無限小を使うと 追加
2022. 9. 5 Ver.1.015 「ε-δ法でも不可能」追加
2022. 9.10 Ver.1.016 「ε-δ法でも不可能」に追記
2023.10.17 Ver.1017 0.999・・・は9の倍数
2023.10.17 Ver.1017a 0.999・・・は9の倍数に無限小の証明追加。


オッカムの剃刀

1を表す方法は、いくつでもある。分母と分子が等しいならば、いいわけ だ。
ところが、普通はそんな面倒くさいことはしない。1は1と書く。

オッカムの剃刀では、同じ事は1つにしようということである。

さて、仮に0.999・・・・のように9が無限に続く数があって、それが 1ならば、オッカムの剃刀により、0.999・・・・なんて、ものは1を書くのに必要でない。最初から1と書けばよい。
したがって、0.999・・・と9が続く数があるとしたら、それは、1に ならないように、9は有限であるはずだ。
ゆえに、0.999・・・・という数があるとしたら、9は有限であり、1 に等しくない。

0.999・・・の Wikipediaは、実数では、0.999・・・・は1に 等し いと述べている。

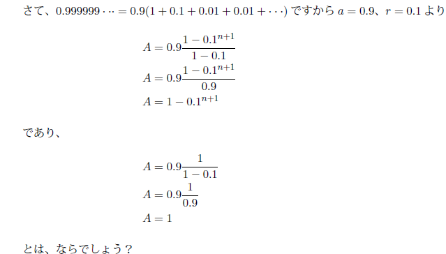
等比級数の和

放 送大学で見まし た。


 

数直線と進数

数直線を考えてみましょう。あれは、線ですね。
また、2桁の数を考えてみましょう。10の位をy、1の位をxとすると平面になります。
3桁の数なら、立方体になりますね。

では、数直線は、ある進数で、すべての数が1桁で表される進数の数の集まりと考えてみます。
同様に、すべての数が2桁で表される進数の数の集まりとして、平面を考えてみましょう。

たとえば、100個の数は、10x10の平面に収まります。2桁の数ですから0から99の100個です。
さらに広げて102nのたてよこ10nの平面では、数の数は、102n個あります が、先程のように102n−1が最大の数ですね。その数は、9999・・・・ですね。これを102nで 割ってみましょう。
すると、0.9999・・・・ですね。
ここで、気づくことは、個数が102nでも最大の数は102n-1ということです。なぜなら、0から数えて いるからですね。
では、これが1ということは、実数は0を認めないのかということですよね。

さて、だんだん核心に迫ってきました。

進数と小数

これは、PDFにまとめました。進数と 小数
ここでの、結論は、位取り記法できる小数は、有理数であるということです。
しかも、0.999・・・は、無理数でない位取り記法できる小数なので、分子が999・・・で分母がそれより大きい10000・・・となり、1より小さ い。
したがって、0.999・・・は、1にならない。

1.0.999のなりたちの疑問
無限小がオイラーの言うように0ならば、1−無限小=1であって、0.9999・・・はできない。
という事は1−無限小=0.9999・・・であるならば、無限小は0でないという事である。
すると、1−0.9999・・・=無限小と変形できるから、ここでは無限小は0でないという事であるから、
1−0.9999・・・>0である。変形して1>0.9999・・・となる。

2.1と0.999が等しいならば
1と0.9999・・・が等しいと仮定する。
また、0.9999・・・が無理数ならば、1が有理数なので、等しくない。
1と等しいと言っているから0.9999・・・は有理数である。
10進小数は、各桁に分解できるから、有理数で表すと
 99999999・・・・
----------------
100000000・・・・
である。一般に
  a
-----
  b
において、a,bがいずれも0でなく、aとbが等しくなければ、これは1にならない。
ここで、a=9999・・・,b=100000・・・であるから、aとbは等しくない。
とすると、最初の仮定に反するから1と等しくない。

九去数で考える

0.999・・は定義より9が並んだ数なので、九去数f(0.999・・)=f(9)である。
9の倍数の性質より明らかである。
九去数f(1)=f(1)であるから、1と0.999・・は違うものだ。

0.999・・・は9の倍数

9去数でもおなじであるが、0.999・・・は、9の倍数の性質より、各桁の総和が9の倍数なら、0.999・・・は、9の倍数である。さて、9をN個足 すと総和は9Nである。よって、0.999・・・は、9の倍数である。ところが、1は9の倍数でない。よって、1>0.999・・・である。
そこで、1-0.999・・・=zは、無限小の言葉でない表現である。
無限小は0ではないことが導かれた。
なお、無限小の根拠は、10進数について、知らなければならない。10進数は0〜9までの記号を使う。9の次は、桁上がりして、記号0に戻る。
さて、0.999・・・・は、すべて記号9を使っているので、もう記号はなく、1と0.999・・・の間にいかなる数も存在しない。ゆえに、1-0.999・・・=zは、無限小であることが証明された。

10進数のトリック

さて、実数は連続であるのでしたね。
とすれば、a=0.999・・・
であれば、実数は連続であるので
   1+a
 b=-----
    2

というbがなければ連続にならない。同様に、
   1+b
c=-----
    2
というcがなければ連続にならない。ゆえに、0.999・・・と1の間には無限の数が存在しないと実数が連続であると言えないではないか。

したがって、0.999・・・と1は等しくない。

すると、「b,cを言ってご覧なさい」というでしょ?
それは、10進数のトリックに過ぎない。

たとえば、有理数の1/3は10進小数では表せない。

そういうインチキはだめだな。
実数は10進数だけではなく、進数を超えて定義されているはずなんだな。

だから、別の進数では、b,c言えるんだな。
言えなければ、実数がおかしくなるじゃないか。

9進数なら、0.888・・=1
8進数なら、0.777・・=1
7進数なら、0.666・・=1

という具合であるから、
11進数なら、0.aaa・・=1  ただしaは11進数で扱う11個の記号の11番目をいう。

11進数なら、
0.999・・・

1
の間に無限の数があることは誰でもわかる。
もちろん、12,13,・・・・進数ならもっとわかりやすいだろう。

10進数は10個の記号を使う。その記号とは0,1,2,3,4,5,6,7,8,9の10個だ。
0.999・・・は、この10個の10番目の記号をだけを使うので、あとは使える記号がないので、その次は桁上がりしかない。
つまり、1だ。

間の数は10進数である以上作成は不可能である。これが、トリックの仕掛けである。

でも、0.999・・・のあとには、桁上がりという手段がまだある。
桁上がりが起きたという事は、あなたが、頑迷に存在を否定している0.000・・・1が10進数の決まりから明確にその存在を示しているのである。

これからしても、0.999・・・=1ではない。
すると、実数は連続であったはずだと言うんでしょ?
でもね、10進数である以上、これは避けられないんだな。
進数表現では、必ずしも連続ではないんだな。

桁上がりって、そういうことでしょう?

10進数では、0.999・・・の連続する次の数が桁上がりした1であり、当然別物である。
実数では、0.999・・・と1の間に無限の数がある。
したがって、0.999・・・と1は別物である。    

無限小は0でない

実数の連続性により、無限小をΔxとすると、任意の実数a,bにおいて、b=a+Δxならば、b>aで、aより大きな実数が連続して作ることができ る。
ところが、もし無限小Δxが0ならば、b=a+Δxとすると、b=aで、a=0.999・・・より大きな実数は存在しないことを証明することになる。

したがって、実数の連続性から、無限小は0でない。

無限小が0でないことは、ライプニッツが言っているそうだ。

分数を使った証明は誤り

x=aとする。
 nx=na
-) x= a
(n-1)x=(n-1)a
両辺を(n-1)でわると、
   x=a
代数学的に当たり前のことだ。

さて、ここで、a=0.9999・・・・,n=10を代入すると、 

 10x=9.999・・・・
-) x= 0.999・・・・
  9x= 9 ✕ 0.9999・・・
両辺を10-1でわると、
x=0.999・・・・

よく説明される
 10x=9.999・・・・
-) x= 0.999・・・・
   9x=9
両辺を10-1でわると、
    x=1
なんて、真っ赤な嘘だ。

無限では、普通の計算は成り立たないというのであれば、代数学も成り立たないのであろう。
したがって、0.999・・・のwikipediaのいずれの説明も成り立たないと言えるのである。

無限小を使うと


x=1-0.1=0.9 とする。
 10x= 9
-)  x= 0.9
   9x= 8.1
    x=0.9

x=1-0.01=0.99とする。
 10x= 9.9
-)  x= 0.99
   9x= 8.91
    x=0.99

x=1-0.001=0.999とする。
 10x= 9.99
-)  x= 0.999
   9x= 8.991
    x=0.999

同 様にして、x=1-10^(-n)とすると、{ x=0.9999・・・・であるが}
 10x=10{1-10^(-n)}
-)  x= 1-10^(-n)
   9x= 9-10 10^(-n)+10^(-n)
   9x= 9-9 10^(-n)
    x= 1-10^(-n)
 
 よって、10^(-n)>0であるから、{ 10^(-n)においてnは無限大であるから、
10^(-n) は無限小である。}
    x<1
 つまり、
    x≠1

ここで、もし、10^(-n)=0とすると、{もし、
10^(-n)=0 つまり、無限小は0であるなら
x= 1-10^(-n)=1 つまり、x=1であり、x=0.9999・・・・とはならない。

無限小を使ってもだめである。

ε-δ法でも不可能

10進数では、0.999・・・と無限に9が並んでも、桁上がりしないだけで、ところが、1は桁上がりした数なのである。

これは、明らかに異なる数である。だから、ε-δ法を使っても無理なのである。

実数と、10進数は、異なるものであることは、10進数のトリックで述べた。(実数の連続性は10進数では成り立たないのであるから。)

ε-δ法は、実数なら、使えるかもしれないが、10進数では使えないのである。

数直線で考えると、ε-δ法でできたとなるが、10進数で、0.999・・・をいくら1に近づけようと9を増やしても、0.999・・・でしかない のである。

なぜなら、0.999・・・・の9を使い果たしたら、桁上がりして1になるのであるからである。

9を使い果たすということは、0.0・・・・1がなければありえないのである。したがって、ε-δ法では、どこまで行っても0.999・・・に過ぎ ないのである。

0.999・・・=1の問題は10進数の問題であるから、明らかに、0.999・・・<1なのである。



その他 例のWebは辞典であるから、定形の構成であり、詳細な説明は読んでもかかれてない。
ただわかることは、偉大な人物名と意味不明な式と「実数は常識とは違うんだ」ということではないでしょうか。

まあ、これもそういう意味で、権威で持って、隅に掃きとばされるWebなんでしょうね。